Номер 5, страница 256 - гдз по алгебре 11 класс учебник Арефьева, Пирютко

Алгебра, 11 класс Учебник, авторы: Арефьева Ирина Глебовна, Пирютко Ольга Николаевна, издательство Народная асвета, Минск, 2020, бирюзового цвета

Авторы: Арефьева И. Г., Пирютко О. Н.

Тип: Учебник

Издательство: Народная асвета

Год издания: 2020 - 2025

Цвет обложки: бирюзовый, зелёный с графиком

ISBN: 978-985-03-3165-6

Популярные ГДЗ в 11 классе

Тематические тесты. Тест 10. Логарифмические уравнения - номер 5, страница 256.

№5 (с. 256)
Условие. №5 (с. 256)
скриншот условия
Алгебра, 11 класс Учебник, авторы: Арефьева Ирина Глебовна, Пирютко Ольга Николаевна, издательство Народная асвета, Минск, 2020, бирюзового цвета, страница 256, номер 5, Условие

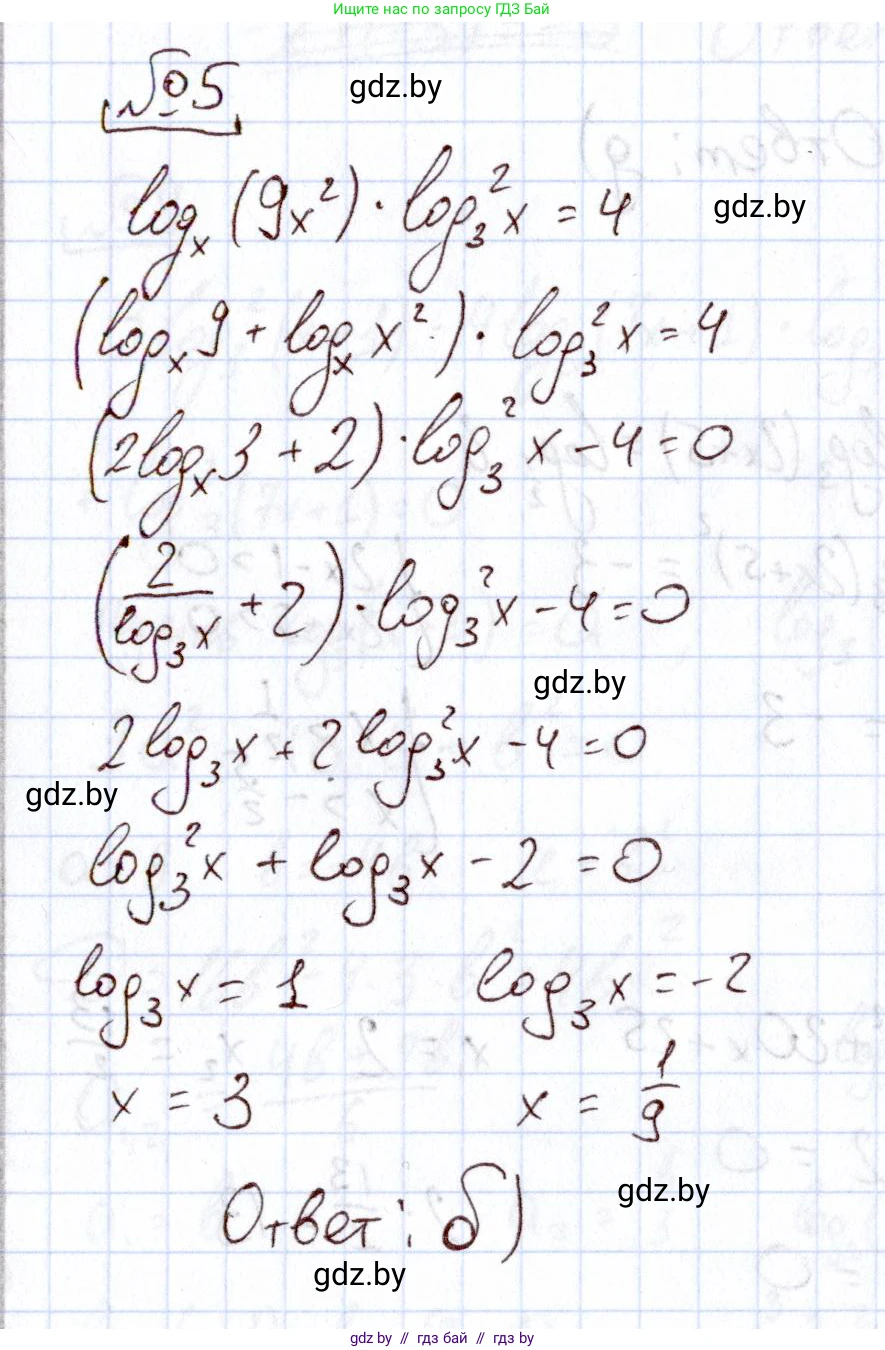
5. Решите уравнение $ \log_x (9x^2) \cdot \log_3^2 x = 4. $

а) $ \frac{1}{27}; 9; $

б) $ \frac{1}{9}; 3; $

в) $ \frac{1}{3}; 9; $

г) $ \frac{1}{9}; 27; $

д) $ \frac{1}{3}; 3. $

Решение. №5 (с. 256)
Алгебра, 11 класс Учебник, авторы: Арефьева Ирина Глебовна, Пирютко Ольга Николаевна, издательство Народная асвета, Минск, 2020, бирюзового цвета, страница 256, номер 5, Решение
Решение 2. №5 (с. 256)

5. Исходное уравнение: $ \log_x(9x^2) \cdot \log_3^2 x = 4 $

Сначала определим область допустимых значений (ОДЗ). Основание логарифма $x$ должно быть положительным и не равным единице: $x > 0$ и $x \neq 1$. Аргументы логарифмов ($9x^2$ и $x$) должны быть строго положительными, что выполняется при $x > 0$. Таким образом, ОДЗ: $x \in (0, 1) \cup (1, \infty)$.

Преобразуем первый множитель, используя свойства логарифмов: $\log_a(bc) = \log_a b + \log_a c$ и $\log_a b^n = n \log_a b$. $ \log_x(9x^2) = \log_x 9 + \log_x x^2 = \log_x(3^2) + 2\log_x x = 2\log_x 3 + 2 \cdot 1 = 2\log_x 3 + 2 $.

Подставим преобразованное выражение обратно в исходное уравнение: $ (2\log_x 3 + 2) \cdot \log_3^2 x = 4 $

Приведем все логарифмы к одному основанию 3, используя формулу перехода к новому основанию: $\log_b a = \frac{\log_c a}{\log_c b}$. $ \log_x 3 = \frac{\log_3 3}{\log_3 x} = \frac{1}{\log_3 x} $.

Подставим это в уравнение: $ \left(2 \cdot \frac{1}{\log_3 x} + 2\right) \cdot \log_3^2 x = 4 $

Сделаем замену переменной. Пусть $ t = \log_3 x $. Из ОДЗ ($x \neq 1$) следует, что $ t = \log_3 x \neq \log_3 1 = 0 $. Уравнение примет вид: $ \left(\frac{2}{t} + 2\right) \cdot t^2 = 4 $

Раскроем скобки и решим полученное уравнение: $ \frac{2}{t} \cdot t^2 + 2 \cdot t^2 = 4 $ $ 2t + 2t^2 = 4 $

Перенесем все члены в левую часть и разделим на 2: $ 2t^2 + 2t - 4 = 0 $ $ t^2 + t - 2 = 0 $

Найдем корни полученного квадратного уравнения. По теореме Виета, сумма корней равна $-1$, а их произведение равно $-2$. Корнями являются: $ t_1 = 1 $ и $ t_2 = -2 $. Оба корня удовлетворяют условию $t \neq 0$.

Выполним обратную замену для каждого корня.

1) При $t = 1$: $ \log_3 x = 1 $ $ x_1 = 3^1 = 3 $

2) При $t = -2$: $ \log_3 x = -2 $ $ x_2 = 3^{-2} = \frac{1}{3^2} = \frac{1}{9} $

Оба найденных корня $x_1 = 3$ и $x_2 = \frac{1}{9}$ принадлежат области допустимых значений.

Ответ: $\frac{1}{9}; 3$

Помогло решение? Оставьте отзыв в комментариях ниже.

Присоединяйтесь к Телеграм-группе @gdz_by_belarus

Присоединиться

Мы подготовили для вас ответ c подробным объяснением домашего задания по алгебре за 11 класс, для упражнения номер 5 расположенного на странице 256 к учебнику 2020 года издания для учащихся школ и гимназий.

Теперь на нашем сайте ГДЗ.ТОП вы всегда легко и бесплатно найдёте условие с правильным ответом на вопрос «Как решить ДЗ» и «Как сделать» задание по алгебре к упражнению №5 (с. 256), авторов: Арефьева (Ирина Глебовна), Пирютко (Ольга Николаевна), учебного пособия издательства Народная асвета.