Номер 9, страница 256 - гдз по алгебре 11 класс учебник Арефьева, Пирютко

Алгебра, 11 класс Учебник, авторы: Арефьева Ирина Глебовна, Пирютко Ольга Николаевна, издательство Народная асвета, Минск, 2020, бирюзового цвета

Авторы: Арефьева И. Г., Пирютко О. Н.

Тип: Учебник

Издательство: Народная асвета

Год издания: 2020 - 2025

Цвет обложки: бирюзовый, зелёный с графиком

ISBN: 978-985-03-3165-6

Популярные ГДЗ в 11 классе

Тематические тесты. Тест 10. Логарифмические уравнения - номер 9, страница 256.

№9 (с. 256)
Условие. №9 (с. 256)
скриншот условия
Алгебра, 11 класс Учебник, авторы: Арефьева Ирина Глебовна, Пирютко Ольга Николаевна, издательство Народная асвета, Минск, 2020, бирюзового цвета, страница 256, номер 9, Условие

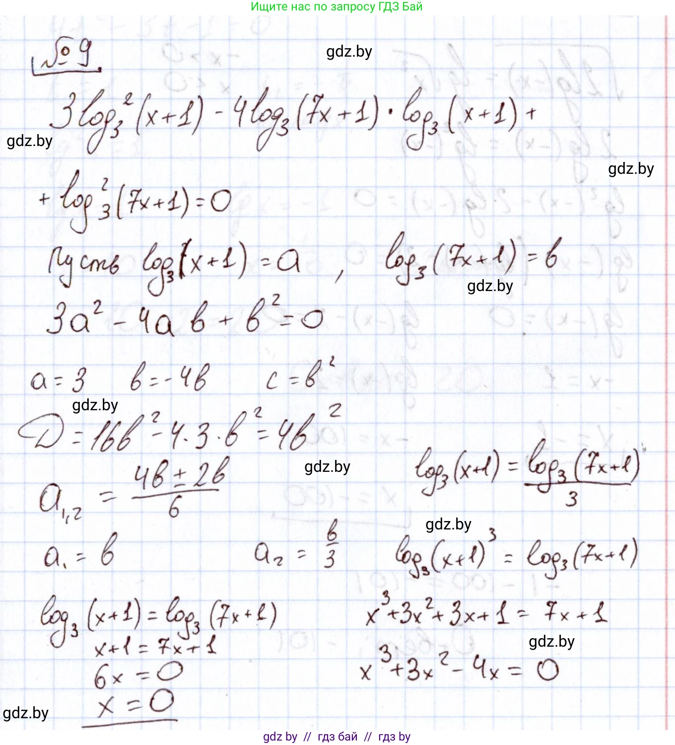
9. Найдите среднее арифметическое корней

уравнения

$3\log^2_3(x+1) - 4\log_3(7x+1) \cdot \log_3(x+1) + \log^2_3(7x+1) = 0.$

a) -1;

б) 0,5;

в) -0,5;

г) 2;

д) $\frac{1}{3}$.

Решение. №9 (с. 256)
Алгебра, 11 класс Учебник, авторы: Арефьева Ирина Глебовна, Пирютко Ольга Николаевна, издательство Народная асвета, Минск, 2020, бирюзового цвета, страница 256, номер 9, Решение Алгебра, 11 класс Учебник, авторы: Арефьева Ирина Глебовна, Пирютко Ольга Николаевна, издательство Народная асвета, Минск, 2020, бирюзового цвета, страница 256, номер 9, Решение (продолжение 2)
Решение 2. №9 (с. 256)

Для того чтобы найти среднее арифметическое корней уравнения, необходимо сначала найти все его действительные корни.

1. Определение области допустимых значений (ОДЗ)

Аргументы логарифмических функций должны быть строго положительными. Составим и решим систему неравенств:

$$ \begin{cases} x + 1 > 0 \\ 7x + 1 > 0 \end{cases} \implies \begin{cases} x > -1 \\ 7x > -1 \end{cases} \implies \begin{cases} x > -1 \\ x > -\frac{1}{7} \end{cases} $$

Пересечением этих двух условий является $x > -\frac{1}{7}$. Это и есть ОДЗ нашего уравнения.

2. Решение уравнения

Исходное уравнение:

$$3\log_3^2(x+1) - 4\log_3(7x+1) \cdot \log_3(x+1) + \log_3^2(7x+1) = 0$$

Данное уравнение является однородным уравнением второй степени относительно логарифмов. Для удобства введем замену: пусть $A = \log_3(x+1)$ и $B = \log_3(7x+1)$. Уравнение принимает вид:

$$3A^2 - 4AB + B^2 = 0$$

Мы можем разложить левую часть на множители как квадратный трёхчлен относительно переменной $A$ (или $B$):

$$(3A - B)(A - B) = 0$$

Произведение равно нулю тогда и только тогда, когда хотя бы один из множителей равен нулю. Это приводит к совокупности двух уравнений:

1) $A - B = 0 \implies A = B$

2) $3A - B = 0 \implies B = 3A$

Рассмотрим каждый случай отдельно, выполнив обратную замену.

Случай 1: $A = B$

$$\log_3(x+1) = \log_3(7x+1)$$

Так как основания логарифмов равны, мы можем приравнять их аргументы:

$$x+1 = 7x+1$$

$$6x = 0$$

$$x_1 = 0$$

Проверяем этот корень на соответствие ОДЗ: $0 > -\frac{1}{7}$. Корень подходит.

Случай 2: $B = 3A$

$$\log_3(7x+1) = 3\log_3(x+1)$$

Используя свойство логарифма $k \cdot \log_c(m) = \log_c(m^k)$, преобразуем правую часть:

$$\log_3(7x+1) = \log_3((x+1)^3)$$

Приравниваем аргументы:

$$7x+1 = (x+1)^3$$

$$7x+1 = x^3 + 3x^2 + 3x + 1$$

$$x^3 + 3x^2 - 4x = 0$$

Выносим общий множитель $x$ за скобки:

$$x(x^2 + 3x - 4) = 0$$

Разложим квадратный трехчлен на множители:

$$x(x+4)(x-1) = 0$$

Это уравнение дает три потенциальных корня: $x=0$, $x=-4$ и $x=1$. Проверим их по ОДЗ ($x > -\frac{1}{7}$):

  • $x=0$ — удовлетворяет ОДЗ (этот корень мы уже нашли в первом случае).
  • $x=1$ — удовлетворяет ОДЗ, так как $1 > -\frac{1}{7}$. Это второй действительный корень уравнения, $x_2 = 1$.
  • $x=-4$ — не удовлетворяет ОДЗ, так как $-4$ не больше, чем $-\frac{1}{7}$, и является посторонним корнем.

Таким образом, исходное уравнение имеет два различных корня: $x_1 = 0$ и $x_2 = 1$.

3. Нахождение среднего арифметического корней

Среднее арифметическое найденных корней $x_1$ и $x_2$ равно их сумме, делённой на их количество (два):

$$ \frac{x_1 + x_2}{2} = \frac{0 + 1}{2} = \frac{1}{2} = 0.5 $$

Ответ: 0,5.

Помогло решение? Оставьте отзыв в комментариях ниже.

Присоединяйтесь к Телеграм-группе @gdz_by_belarus

Присоединиться

Мы подготовили для вас ответ c подробным объяснением домашего задания по алгебре за 11 класс, для упражнения номер 9 расположенного на странице 256 к учебнику 2020 года издания для учащихся школ и гимназий.

Теперь на нашем сайте ГДЗ.ТОП вы всегда легко и бесплатно найдёте условие с правильным ответом на вопрос «Как решить ДЗ» и «Как сделать» задание по алгебре к упражнению №9 (с. 256), авторов: Арефьева (Ирина Глебовна), Пирютко (Ольга Николаевна), учебного пособия издательства Народная асвета.