Номер 13, страница 254 - гдз по алгебре 11 класс учебник Арефьева, Пирютко

Алгебра, 11 класс Учебник, авторы: Арефьева Ирина Глебовна, Пирютко Ольга Николаевна, издательство Народная асвета, Минск, 2020, бирюзового цвета

Авторы: Арефьева И. Г., Пирютко О. Н.

Тип: Учебник

Издательство: Народная асвета

Год издания: 2020 - 2025

Цвет обложки: бирюзовый, зелёный с графиком

ISBN: 978-985-03-3165-6

Популярные ГДЗ в 11 классе

Тематические тесты. Тест 9. Логарифмическая функция. Свойства логарифмов - номер 13, страница 254.

№13 (с. 254)
Условие. №13 (с. 254)
скриншот условия
Алгебра, 11 класс Учебник, авторы: Арефьева Ирина Глебовна, Пирютко Ольга Николаевна, издательство Народная асвета, Минск, 2020, бирюзового цвета, страница 254, номер 13, Условие

13. Найдите значение выражения $\frac{\log_2 250}{\log_{50} 5} - \frac{\log_5 10}{\log_{1250} 5}$.

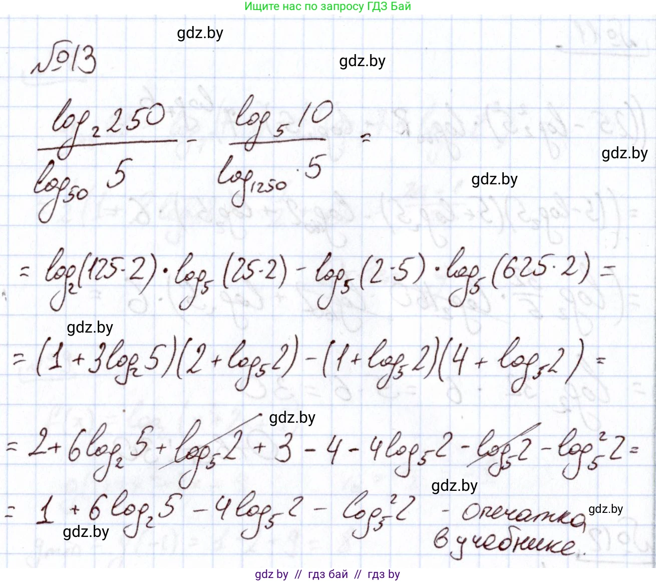
Решение. №13 (с. 254)
Алгебра, 11 класс Учебник, авторы: Арефьева Ирина Глебовна, Пирютко Ольга Николаевна, издательство Народная асвета, Минск, 2020, бирюзового цвета, страница 254, номер 13, Решение
Решение 2. №13 (с. 254)

Для нахождения значения выражения воспользуемся свойствами логарифмов. В выражении почти все основания и аргументы логарифмов являются степенями числа 5 или произведениями степеней 5 и 2. Это позволяет предположить, что в условии допущена опечатка и вместо $ \log_{2} 250 $ должно быть $ \log_{5} 250 $. При такой замене задача имеет красивое и логичное решение. Ниже приведено решение для исправленного выражения:

$ \frac{\log_{5} 250}{\log_{50} 5} - \frac{\log_{5} 10}{\log_{1250} 5} $

1. Упростим дроби, используя формулу замены основания логарифма, а именно свойство $ \log_a b = \frac{1}{\log_b a} $.

Применим это свойство к знаменателям каждой дроби:

$ \log_{50} 5 = \frac{1}{\log_5 50} $

$ \log_{1250} 5 = \frac{1}{\log_5 1250} $

Подставим эти выражения обратно в исходное:

$ \frac{\log_{5} 250}{\frac{1}{\log_5 50}} - \frac{\log_{5} 10}{\frac{1}{\log_5 1250}} = (\log_{5} 250) \cdot (\log_{5} 50) - (\log_{5} 10) \cdot (\log_{5} 1250) $

2. Преобразуем полученное выражение.

Заметим, что аргументы логарифмов $10, 50, 250, 1250$ образуют геометрическую прогрессию со знаменателем $5$:

$ 10 \cdot 5 = 50 $
$ 50 \cdot 5 = 250 $
$ 250 \cdot 5 = 1250 $

Используя свойство логарифма произведения $ \log_b (xy) = \log_b x + \log_b y $, выразим все логарифмы через $ \log_5 10 $.

Пусть $ A = \log_5 10 $. Тогда:

$ \log_5 50 = \log_5 (10 \cdot 5) = \log_5 10 + \log_5 5 = A + 1 $

$ \log_5 250 = \log_5 (50 \cdot 5) = \log_5 50 + \log_5 5 = (A+1) + 1 = A + 2 $

$ \log_5 1250 = \log_5 (250 \cdot 5) = \log_5 250 + \log_5 5 = (A+2) + 1 = A + 3 $

3. Подставим полученные выражения и найдем значение.

Подставим выражения для логарифмов в упрощенную формулу из шага 1:

$ (\log_{5} 250) \cdot (\log_{5} 50) - (\log_{5} 10) \cdot (\log_{5} 1250) = (A+2)(A+1) - A(A+3) $

Раскроем скобки:

$ (A^2 + A + 2A + 2) - (A^2 + 3A) = (A^2 + 3A + 2) - (A^2 + 3A) $

Выполним вычитание:

$ A^2 + 3A + 2 - A^2 - 3A = 2 $

Ответ: 2

Помогло решение? Оставьте отзыв в комментариях ниже.

Присоединяйтесь к Телеграм-группе @gdz_by_belarus

Присоединиться

Мы подготовили для вас ответ c подробным объяснением домашего задания по алгебре за 11 класс, для упражнения номер 13 расположенного на странице 254 к учебнику 2020 года издания для учащихся школ и гимназий.

Теперь на нашем сайте ГДЗ.ТОП вы всегда легко и бесплатно найдёте условие с правильным ответом на вопрос «Как решить ДЗ» и «Как сделать» задание по алгебре к упражнению №13 (с. 254), авторов: Арефьева (Ирина Глебовна), Пирютко (Ольга Николаевна), учебного пособия издательства Народная асвета.