Номер 7, страница 164 - гдз по алгебре 11 класс учебник Арефьева, Пирютко

Алгебра, 11 класс Учебник, авторы: Арефьева Ирина Глебовна, Пирютко Ольга Николаевна, издательство Народная асвета, Минск, 2020, бирюзового цвета

Авторы: Арефьева И. Г., Пирютко О. Н.

Тип: Учебник

Издательство: Народная асвета

Год издания: 2020 - 2025

Цвет обложки: бирюзовый, зелёный с графиком

ISBN: 978-985-03-3165-6

Популярные ГДЗ в 11 классе

Глава 3. Логарифмическая функция. Я проверяю свои знания - номер 7, страница 164.

№7 (с. 164)
Условие. №7 (с. 164)
скриншот условия
Алгебра, 11 класс Учебник, авторы: Арефьева Ирина Глебовна, Пирютко Ольга Николаевна, издательство Народная асвета, Минск, 2020, бирюзового цвета, страница 164, номер 7, Условие

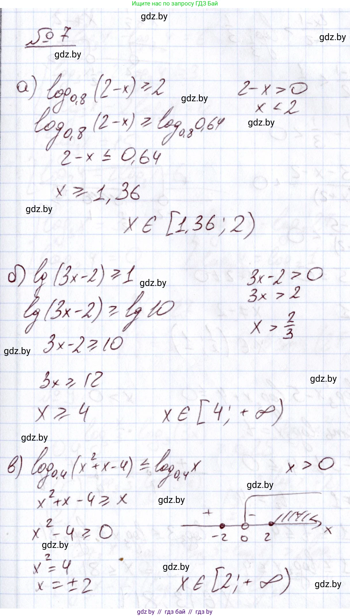
7. Решите неравенство:

a) $log_{0.8} (2 - x) \ge 2;$

б) $lg(3x - 2) \ge 1;$

в) $log_{0.4} (x^2 + x - 4) \le log_{0.4} x;$

г) $log_{\frac{1}{3}} \frac{2x - 1}{x + 2} > 1;$

д) $log^2_3 x - 5log_3 x + 4 \le 0.$

Решение. №7 (с. 164)
Алгебра, 11 класс Учебник, авторы: Арефьева Ирина Глебовна, Пирютко Ольга Николаевна, издательство Народная асвета, Минск, 2020, бирюзового цвета, страница 164, номер 7, Решение Алгебра, 11 класс Учебник, авторы: Арефьева Ирина Глебовна, Пирютко Ольга Николаевна, издательство Народная асвета, Минск, 2020, бирюзового цвета, страница 164, номер 7, Решение (продолжение 2)
Решение 2. №7 (с. 164)

а) $\log_{0,8}(2-x) \ge 2$

Сначала определим область допустимых значений (ОДЗ). Аргумент логарифма должен быть строго положительным:

$2-x > 0$

$x < 2$

ОДЗ: $x \in (-\infty; 2)$.

Теперь решим само неравенство. Представим правую часть в виде логарифма с основанием 0,8:

$2 = 2 \cdot \log_{0,8}(0,8) = \log_{0,8}(0,8^2) = \log_{0,8}(0,64)$

Неравенство принимает вид:

$\log_{0,8}(2-x) \ge \log_{0,8}(0,64)$

Основание логарифма $a=0,8$, и $0 < 0,8 < 1$. Это значит, что логарифмическая функция является убывающей. Поэтому при переходе от логарифмов к их аргументам знак неравенства меняется на противоположный:

$2-x \le 0,64$

$-x \le 0,64 - 2$

$-x \le -1,36$

$x \ge 1,36$

Объединим полученное решение с ОДЗ. Нам нужно найти пересечение множеств $x \ge 1,36$ и $x < 2$.

Ответ: $[1,36; 2)$.

б) $\lg(3x-2) \ge 1$

ОДЗ: аргумент десятичного логарифма (основание 10) должен быть положителен:

$3x-2 > 0$

$3x > 2$

$x > \frac{2}{3}$

ОДЗ: $x \in (\frac{2}{3}; +\infty)$.

Решаем неравенство. Представим 1 как десятичный логарифм:

$1 = \lg(10^1) = \lg(10)$

Неравенство переписывается в виде:

$\lg(3x-2) \ge \lg(10)$

Основание логарифма $a=10$, и $10 > 1$. Логарифмическая функция возрастающая, поэтому знак неравенства сохраняется:

$3x-2 \ge 10$

$3x \ge 12$

$x \ge 4$

Совмещаем с ОДЗ: $x > \frac{2}{3}$ и $x \ge 4$. Пересечением этих условий является $x \ge 4$.

Ответ: $[4; +\infty)$.

в) $\log_{0,4}(x^2 + x - 4) \le \log_{0,4}x$

ОДЗ определяется системой неравенств, так как оба аргумента логарифмов должны быть положительны:

$\begin{cases} x^2 + x - 4 > 0 \\ x > 0 \end{cases}$

Для первого неравенства $x^2 + x - 4 > 0$ найдем корни уравнения $x^2 + x - 4 = 0$. Дискриминант $D = 1^2 - 4(1)(-4) = 17$. Корни: $x_{1,2} = \frac{-1 \pm \sqrt{17}}{2}$. Ветви параболы направлены вверх, значит, неравенство выполняется при $x \in (-\infty; \frac{-1-\sqrt{17}}{2}) \cup (\frac{-1+\sqrt{17}}{2}; +\infty)$.

Учитывая второе условие $x > 0$, получаем ОДЗ: $x \in (\frac{-1+\sqrt{17}}{2}; +\infty)$.

Теперь решаем исходное неравенство. Основание $a=0,4$, $0 < 0,4 < 1$, функция убывающая, знак неравенства меняется:

$x^2 + x - 4 \ge x$

$x^2 - 4 \ge 0$

$(x-2)(x+2) \ge 0$

Решением этого неравенства является $x \in (-\infty; -2] \cup [2; +\infty)$.

Найдем пересечение этого решения с ОДЗ: $x \in (\frac{-1+\sqrt{17}}{2}; +\infty)$. Сравним $2$ и $\frac{-1+\sqrt{17}}{2}$. Так как $4 < \sqrt{17} < 5$, то $3 < -1+\sqrt{17} < 4$, и $1,5 < \frac{-1+\sqrt{17}}{2} < 2$. Значит, $2 > \frac{-1+\sqrt{17}}{2}$.

Пересечением множеств $(-\infty; -2] \cup [2; +\infty)$ и $(\frac{-1+\sqrt{17}}{2}; +\infty)$ является интервал $[2; +\infty)$.

Ответ: $[2; +\infty)$.

г) $\log_{\frac{1}{3}}\frac{2x-1}{x+2} > 1$

ОДЗ: аргумент логарифма должен быть положителен:

$\frac{2x-1}{x+2} > 0$

Методом интервалов находим, что это неравенство выполняется при $x \in (-\infty; -2) \cup (\frac{1}{2}; +\infty)$.

Решаем неравенство. Основание $a=\frac{1}{3}$, $0 < \frac{1}{3} < 1$, функция убывающая, знак неравенства меняется. Представим 1 как логарифм по основанию $\frac{1}{3}$:

$1 = \log_{\frac{1}{3}}(\frac{1}{3})$

$\log_{\frac{1}{3}}\frac{2x-1}{x+2} > \log_{\frac{1}{3}}(\frac{1}{3})$

$\frac{2x-1}{x+2} < \frac{1}{3}$

$\frac{2x-1}{x+2} - \frac{1}{3} < 0$

$\frac{3(2x-1) - 1(x+2)}{3(x+2)} < 0$

$\frac{6x-3-x-2}{3(x+2)} < 0$

$\frac{5x-5}{3(x+2)} < 0 \implies \frac{x-1}{x+2} < 0$

Методом интервалов получаем решение: $x \in (-2; 1)$.

Находим пересечение решения $x \in (-2; 1)$ с ОДЗ $x \in (-\infty; -2) \cup (\frac{1}{2}; +\infty)$.

Ответ: $(\frac{1}{2}; 1)$.

д) $\log_3^2 x - 5\log_3 x + 4 \le 0$

ОДЗ: $x > 0$, т.е. $x \in (0; +\infty)$.

Это квадратное неравенство относительно $\log_3 x$. Сделаем замену: пусть $t = \log_3 x$.

$t^2 - 5t + 4 \le 0$

Найдем корни уравнения $t^2 - 5t + 4 = 0$. По теореме Виета $t_1=1$, $t_2=4$.

Решением неравенства $(t-1)(t-4) \le 0$ является отрезок $[1; 4]$.

$1 \le t \le 4$

Выполним обратную замену:

$1 \le \log_3 x \le 4$

Так как основание логарифма $a=3 > 1$, функция возрастающая. Можем представить концы отрезка как логарифмы по основанию 3:

$\log_3(3^1) \le \log_3 x \le \log_3(3^4)$

$\log_3 3 \le \log_3 x \le \log_3 81$

Переходя к аргументам, получаем:

$3 \le x \le 81$

Это решение полностью входит в ОДЗ ($x>0$).

Ответ: $[3; 81]$.

Помогло решение? Оставьте отзыв в комментариях ниже.

Присоединяйтесь к Телеграм-группе @gdz_by_belarus

Присоединиться

Мы подготовили для вас ответ c подробным объяснением домашего задания по алгебре за 11 класс, для упражнения номер 7 расположенного на странице 164 к учебнику 2020 года издания для учащихся школ и гимназий.

Теперь на нашем сайте ГДЗ.ТОП вы всегда легко и бесплатно найдёте условие с правильным ответом на вопрос «Как решить ДЗ» и «Как сделать» задание по алгебре к упражнению №7 (с. 164), авторов: Арефьева (Ирина Глебовна), Пирютко (Ольга Николаевна), учебного пособия издательства Народная асвета.