Номер 2, страница 165 - гдз по алгебре 11 класс учебник Арефьева, Пирютко

Алгебра, 11 класс Учебник, авторы: Арефьева Ирина Глебовна, Пирютко Ольга Николаевна, издательство Народная асвета, Минск, 2020, бирюзового цвета

Авторы: Арефьева И. Г., Пирютко О. Н.

Тип: Учебник

Издательство: Народная асвета

Год издания: 2020 - 2025

Цвет обложки: бирюзовый, зелёный с графиком

ISBN: 978-985-03-3165-6

Популярные ГДЗ в 11 классе

Упражнения для итогового повторения. Числа и вычисления - номер 2, страница 165.

№2 (с. 165)
Условие. №2 (с. 165)
скриншот условия
Алгебра, 11 класс Учебник, авторы: Арефьева Ирина Глебовна, Пирютко Ольга Николаевна, издательство Народная асвета, Минск, 2020, бирюзового цвета, страница 165, номер 2, Условие

2. Вычислите:

а) $\frac{1}{2}\sqrt{2,56} + 1,5\sqrt{144}$;

б) $3,5 - 7\sqrt{\frac{16}{49}};

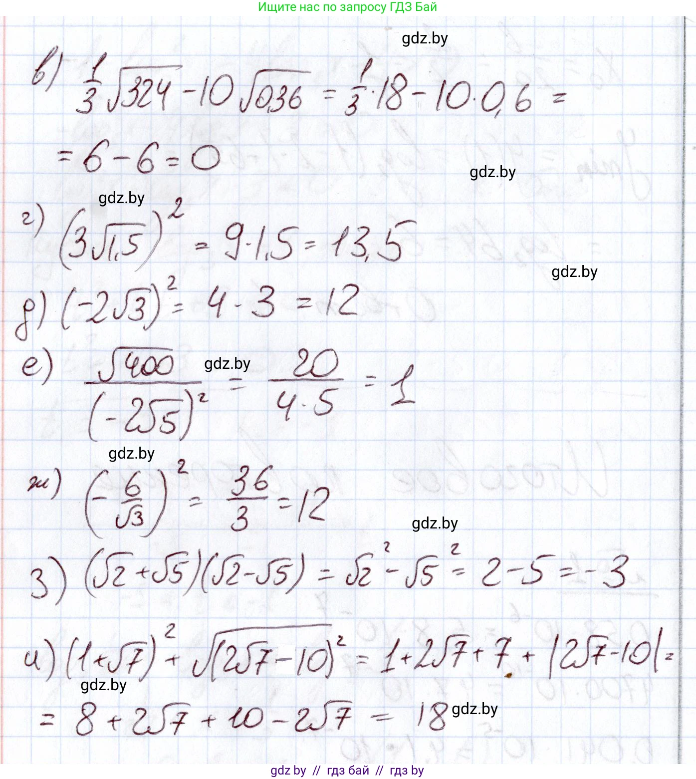
в) $\frac{1}{3}\sqrt{324} - 10\sqrt{0,36}$;

г) $(3\sqrt{1,5})^2$;

д) $(-2\sqrt{3})^2$;

е) $\frac{\sqrt{400}}{(-2\sqrt{5})^2}$;

ж) $(-\frac{6}{\sqrt{3}})^2$;

з) $(\sqrt{2} + \sqrt{5})(\sqrt{2} - \sqrt{5})$;

и) $(1 + \sqrt{7})^2 + \sqrt{(2\sqrt{7} - 10)^2}$.

$180^\circ =$

Решение. №2 (с. 165)
Алгебра, 11 класс Учебник, авторы: Арефьева Ирина Глебовна, Пирютко Ольга Николаевна, издательство Народная асвета, Минск, 2020, бирюзового цвета, страница 165, номер 2, Решение Алгебра, 11 класс Учебник, авторы: Арефьева Ирина Глебовна, Пирютко Ольга Николаевна, издательство Народная асвета, Минск, 2020, бирюзового цвета, страница 165, номер 2, Решение (продолжение 2)
Решение 2. №2 (с. 165)

а) Для вычисления данного выражения воспользуемся свойствами арифметического квадратного корня. Сначала извлечем корни из чисел:

$\sqrt{2,56} = \sqrt{(1,6)^2} = 1,6$

$\sqrt{144} = \sqrt{12^2} = 12$

Теперь подставим полученные значения в исходное выражение и выполним вычисления:

$\frac{1}{2}\sqrt{2,56} + 1,5\sqrt{144} = \frac{1}{2} \cdot 1,6 + 1,5 \cdot 12 = 0,5 \cdot 1,6 + 1,5 \cdot 12 = 0,8 + 18 = 18,8$.
Ответ: 18,8

б) Сначала вычислим значение корня из дроби:

$\sqrt{\frac{16}{49}} = \frac{\sqrt{16}}{\sqrt{49}} = \frac{4}{7}$

Подставим это значение в выражение и выполним вычисления:

$3,5 - 7\sqrt{\frac{16}{49}} = 3,5 - 7 \cdot \frac{4}{7} = 3,5 - 4 = -0,5$.
Ответ: -0,5

в) Вычислим значения квадратных корней:

$\sqrt{324} = 18$

$\sqrt{0,36} = 0,6$

Подставим значения в выражение:

$\frac{1}{3}\sqrt{324} - 10\sqrt{0,36} = \frac{1}{3} \cdot 18 - 10 \cdot 0,6 = 6 - 6 = 0$.
Ответ: 0

г) Для возведения в квадрат произведения используем свойство степени $(ab)^n = a^n b^n$:

$(3\sqrt{1,5})^2 = 3^2 \cdot (\sqrt{1,5})^2 = 9 \cdot 1,5 = 13,5$.
Ответ: 13,5

д) Используем то же свойство степени, что и в предыдущем пункте:

$(-2\sqrt{3})^2 = (-2)^2 \cdot (\sqrt{3})^2 = 4 \cdot 3 = 12$.
Ответ: 12

е) Вычислим отдельно числитель и знаменатель дроби.

Числитель: $\sqrt{400} = 20$.

Знаменатель: $(-2\sqrt{5})^2 = (-2)^2 \cdot (\sqrt{5})^2 = 4 \cdot 5 = 20$.

Теперь разделим числитель на знаменатель:

$\frac{\sqrt{400}}{(-2\sqrt{5})^2} = \frac{20}{20} = 1$.
Ответ: 1

ж) Возведем дробь в квадрат, используя свойство $(\frac{a}{b})^2 = \frac{a^2}{b^2}$:

$(-\frac{6}{\sqrt{3}})^2 = \frac{(-6)^2}{(\sqrt{3})^2} = \frac{36}{3} = 12$.
Ответ: 12

з) Данное выражение является произведением суммы и разности двух чисел, что соответствует формуле разности квадратов: $(a+b)(a-b) = a^2 - b^2$.

В нашем случае $a = \sqrt{2}$ и $b = \sqrt{5}$.

$(\sqrt{2} + \sqrt{5})(\sqrt{2} - \sqrt{5}) = (\sqrt{2})^2 - (\sqrt{5})^2 = 2 - 5 = -3$.
Ответ: -3

и) Вычислим каждое слагаемое по отдельности.

Первое слагаемое: $(1 + \sqrt{7})^2$. Используем формулу квадрата суммы $(a+b)^2 = a^2 + 2ab + b^2$.

$(1 + \sqrt{7})^2 = 1^2 + 2 \cdot 1 \cdot \sqrt{7} + (\sqrt{7})^2 = 1 + 2\sqrt{7} + 7 = 8 + 2\sqrt{7}$.

Второе слагаемое: $\sqrt{(2\sqrt{7}-10)^2}$. Используем свойство $\sqrt{a^2} = |a|$.

$\sqrt{(2\sqrt{7}-10)^2} = |2\sqrt{7}-10|$.

Чтобы раскрыть модуль, нужно определить знак выражения под ним. Сравним $2\sqrt{7}$ и $10$. Для этого сравним их квадраты: $(2\sqrt{7})^2 = 4 \cdot 7 = 28$ и $10^2 = 100$. Так как $28 < 100$, то $2\sqrt{7} < 10$, а значит, выражение $2\sqrt{7}-10$ отрицательно. Следовательно, $|2\sqrt{7}-10| = -(2\sqrt{7}-10) = 10 - 2\sqrt{7}$.

Сложим полученные результаты:

$(8 + 2\sqrt{7}) + (10 - 2\sqrt{7}) = 8 + 2\sqrt{7} + 10 - 2\sqrt{7} = 18$.
Ответ: 18

Помогло решение? Оставьте отзыв в комментариях ниже.

Присоединяйтесь к Телеграм-группе @gdz_by_belarus

Присоединиться

Мы подготовили для вас ответ c подробным объяснением домашего задания по алгебре за 11 класс, для упражнения номер 2 расположенного на странице 165 к учебнику 2020 года издания для учащихся школ и гимназий.

Теперь на нашем сайте ГДЗ.ТОП вы всегда легко и бесплатно найдёте условие с правильным ответом на вопрос «Как решить ДЗ» и «Как сделать» задание по алгебре к упражнению №2 (с. 165), авторов: Арефьева (Ирина Глебовна), Пирютко (Ольга Николаевна), учебного пособия издательства Народная асвета.