Номер 201, страница 189 - гдз по алгебре 11 класс учебник Арефьева, Пирютко

Алгебра, 11 класс Учебник, авторы: Арефьева Ирина Глебовна, Пирютко Ольга Николаевна, издательство Народная асвета, Минск, 2020, бирюзового цвета

Авторы: Арефьева И. Г., Пирютко О. Н.

Тип: Учебник

Издательство: Народная асвета

Год издания: 2020 - 2025

Цвет обложки: бирюзовый, зелёный с графиком

ISBN: 978-985-03-3165-6

Популярные ГДЗ в 11 классе

Упражнения для итогового повторения. Выражения и их преобразования - номер 201, страница 189.

№201 (с. 189)
Условие. №201 (с. 189)
скриншот условия
Алгебра, 11 класс Учебник, авторы: Арефьева Ирина Глебовна, Пирютко Ольга Николаевна, издательство Народная асвета, Минск, 2020, бирюзового цвета, страница 189, номер 201, Условие

201. Решите систему уравнений:

a) $\begin{cases} x + y = 3, \\ xy + x^2 = 3; \end{cases}$

б) $\begin{cases} x + 2y = 4, \\ x^2 - 4y^2 = 0; \end{cases}$

В) $\begin{cases} x - y = 1, \\ xy = 6; \end{cases}$

Г) $\begin{cases} x + y = -8, \\ x^2 + y^2 + 6x + 2y = 0. \end{cases}$

Решение. №201 (с. 189)
Алгебра, 11 класс Учебник, авторы: Арефьева Ирина Глебовна, Пирютко Ольга Николаевна, издательство Народная асвета, Минск, 2020, бирюзового цвета, страница 189, номер 201, Решение Алгебра, 11 класс Учебник, авторы: Арефьева Ирина Глебовна, Пирютко Ольга Николаевна, издательство Народная асвета, Минск, 2020, бирюзового цвета, страница 189, номер 201, Решение (продолжение 2)
Решение 2. №201 (с. 189)

а) Дана система уравнений: $ \begin{cases} x + y = 3, \\ xy + x^2 = 3; \end{cases} $
Во втором уравнении вынесем общий множитель x за скобки: $x(y + x) = 3$.
Из первого уравнения известно, что $x + y = 3$. Подставим это значение во второе уравнение: $x \cdot 3 = 3$.
Отсюда находим значение x: $x = \frac{3}{3} = 1$.
Теперь подставим найденное значение x в первое уравнение, чтобы найти y: $1 + y = 3$.
$y = 3 - 1 = 2$.
Решением системы является пара чисел $(1; 2)$.
Ответ: $(1; 2)$.

б) Дана система уравнений: $ \begin{cases} x + 2y = 4, \\ x^2 - 4y^2 = 0; \end{cases} $
Второе уравнение представляет собой разность квадратов. Разложим его на множители: $x^2 - (2y)^2 = 0$,
$(x - 2y)(x + 2y) = 0$.
Из первого уравнения системы нам известно, что $x + 2y = 4$. Подставим это значение в преобразованное второе уравнение: $(x - 2y) \cdot 4 = 0$.
Отсюда следует, что $x - 2y = 0$, или $x = 2y$.
Теперь подставим выражение $x = 2y$ в первое уравнение системы: $(2y) + 2y = 4$.
$4y = 4$.
$y = 1$.
Найдем соответствующее значение x: $x = 2y = 2 \cdot 1 = 2$.
Решением системы является пара чисел $(2; 1)$.
Ответ: $(2; 1)$.

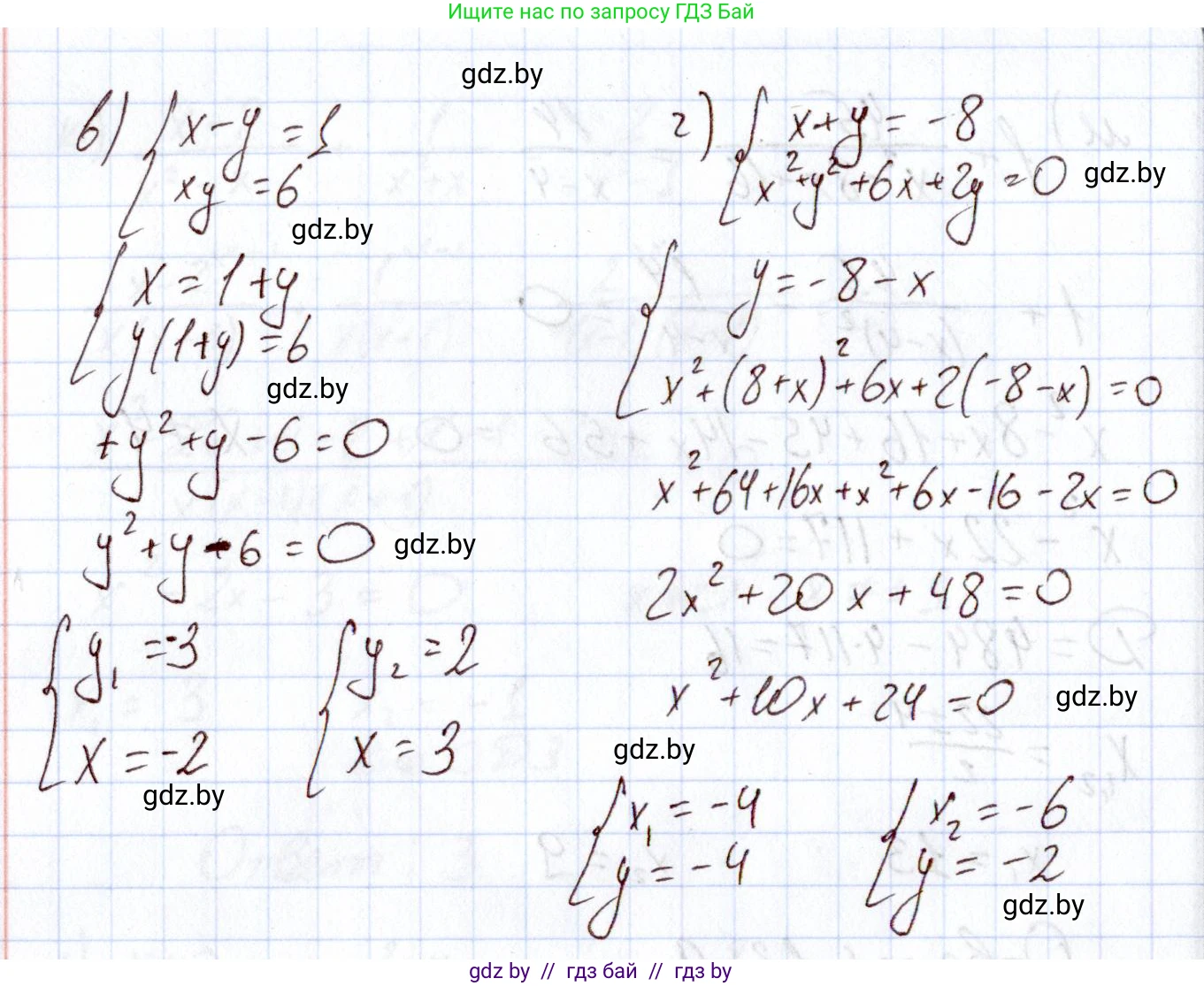
в) Дана система уравнений: $ \begin{cases} x - y = 1, \\ xy = 6; \end{cases} $
Из первого уравнения выразим x через y: $x = 1 + y$.
Подставим это выражение во второе уравнение: $(1 + y)y = 6$.
Раскроем скобки и приведем уравнение к стандартному квадратному виду: $y + y^2 = 6$,
$y^2 + y - 6 = 0$.
Решим квадратное уравнение. По теореме Виета, сумма корней равна $-1$, а произведение равно $-6$. Корнями являются числа $2$ и $-3$.
$y_1 = 2$, $y_2 = -3$.
Теперь найдем соответствующие значения x для каждого корня:
1. Если $y_1 = 2$, то $x_1 = 1 + 2 = 3$.
2. Если $y_2 = -3$, то $x_2 = 1 + (-3) = -2$.
Таким образом, система имеет два решения.
Ответ: $(3; 2)$ и $(-2; -3)$.

г) Дана система уравнений: $ \begin{cases} x + y = -8, \\ x^2 + y^2 + 6x + 2y = 0; \end{cases} $
Из первого уравнения выразим y через x: $y = -8 - x$.
Подставим это выражение во второе уравнение: $x^2 + (-8 - x)^2 + 6x + 2(-8 - x) = 0$.
Раскроем скобки и упростим выражение: $x^2 + (64 + 16x + x^2) + 6x - 16 - 2x = 0$.
Приведем подобные слагаемые: $(x^2 + x^2) + (16x + 6x - 2x) + (64 - 16) = 0$.
$2x^2 + 20x + 48 = 0$.
Разделим все уравнение на 2, чтобы упростить его: $x^2 + 10x + 24 = 0$.
Решим полученное квадратное уравнение. По теореме Виета, сумма корней равна $-10$, а произведение равно $24$. Корнями являются числа $-4$ и $-6$.
$x_1 = -4$, $x_2 = -6$.
Теперь найдем соответствующие значения y для каждого корня:
1. Если $x_1 = -4$, то $y_1 = -8 - (-4) = -8 + 4 = -4$.
2. Если $x_2 = -6$, то $y_2 = -8 - (-6) = -8 + 6 = -2$.
Система имеет два решения.
Ответ: $(-4; -4)$ и $(-6; -2)$.

Помогло решение? Оставьте отзыв в комментариях ниже.

Присоединяйтесь к Телеграм-группе @gdz_by_belarus

Присоединиться

Мы подготовили для вас ответ c подробным объяснением домашего задания по алгебре за 11 класс, для упражнения номер 201 расположенного на странице 189 к учебнику 2020 года издания для учащихся школ и гимназий.

Теперь на нашем сайте ГДЗ.ТОП вы всегда легко и бесплатно найдёте условие с правильным ответом на вопрос «Как решить ДЗ» и «Как сделать» задание по алгебре к упражнению №201 (с. 189), авторов: Арефьева (Ирина Глебовна), Пирютко (Ольга Николаевна), учебного пособия издательства Народная асвета.