Номер 5, страница 45 - гдз по алгебре 11 класс учебник Арефьева, Пирютко

Алгебра, 11 класс Учебник, авторы: Арефьева Ирина Глебовна, Пирютко Ольга Николаевна, издательство Народная асвета, Минск, 2020, бирюзового цвета

Авторы: Арефьева И. Г., Пирютко О. Н.

Тип: Учебник

Издательство: Народная асвета

Год издания: 2020 - 2025

Цвет обложки: бирюзовый, зелёный с графиком

ISBN: 978-985-03-3165-6

Популярные ГДЗ в 11 классе

Глава 1. Обобщение понятия степени. Я проверяю свои знания - номер 5, страница 45.

№5 (с. 45)
Условие. №5 (с. 45)
скриншот условия
Алгебра, 11 класс Учебник, авторы: Арефьева Ирина Глебовна, Пирютко Ольга Николаевна, издательство Народная асвета, Минск, 2020, бирюзового цвета, страница 45, номер 5, Условие

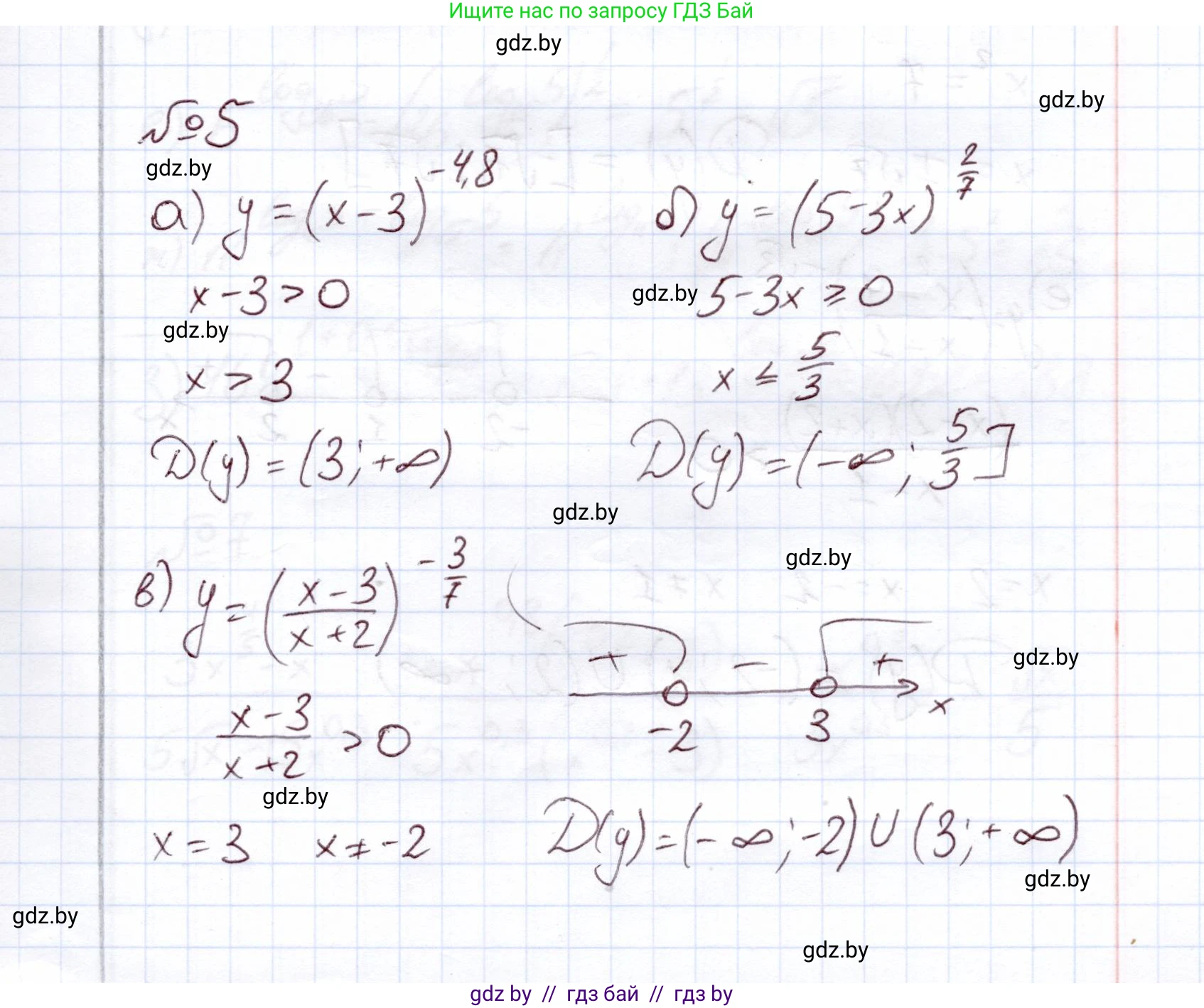
5. Найдите область определения функции:

а) $y = (x - 3)^{-4,8}$;

б) $y = (5 - 3x)^{\frac{2}{7}} $;

в) $y = \left(\frac{x - 3}{x + 2}\right)^{-\frac{3}{7}} $;

г) $y = (x^2 - 6x + 5)^{-0,9} $;

д) $y = (7 - x^2)^{\sqrt{2}} $;

е) $y = \left(\frac{x^2 - 4}{x - 1}\right)^{-\sqrt{3}} $.

Решение. №5 (с. 45)
Алгебра, 11 класс Учебник, авторы: Арефьева Ирина Глебовна, Пирютко Ольга Николаевна, издательство Народная асвета, Минск, 2020, бирюзового цвета, страница 45, номер 5, Решение Алгебра, 11 класс Учебник, авторы: Арефьева Ирина Глебовна, Пирютко Ольга Николаевна, издательство Народная асвета, Минск, 2020, бирюзового цвета, страница 45, номер 5, Решение (продолжение 2)
Решение 2. №5 (с. 45)

Область определения функции $y = [f(x)]^p$ зависит от значения показателя степени $p$.

а) $y = (x - 3)^{-4,8}$

Показатель степени $p = -4,8 = -\frac{48}{10} = -\frac{24}{5}$ является отрицательным рациональным числом. Так как знаменатель показателя (5) — нечетное число, область определения степенной функции с таким показателем требует, чтобы основание степени было не равно нулю.

Основание степени: $x - 3$.

Требуется выполнение условия:

$x - 3 \neq 0$

$x \neq 3$

Таким образом, область определения функции — это все действительные числа, кроме 3.

Ответ: $x \in (-\infty; 3) \cup (3; \infty)$.

б) $y = (5 - 3x)^{\frac{2}{7}}$

Показатель степени $p = \frac{2}{7}$ является положительным рациональным числом. Так как знаменатель показателя (7) — нечетное число, функция определена для всех тех значений переменной $x$, для которых определено ее основание.

Основание $5 - 3x$ является линейной функцией, которая определена для всех действительных чисел.

Следовательно, область определения данной функции — множество всех действительных чисел.

Ответ: $x \in (-\infty; \infty)$.

в) $y = \left(\frac{x - 3}{x + 2}\right)^{-\frac{3}{7}}$

Показатель степени $p = -\frac{3}{7}$ является отрицательным рациональным числом с нечетным знаменателем (7). Это означает, что основание степени должно быть определено и не должно равняться нулю.

Основание степени: $\frac{x - 3}{x + 2}$.

1. Основание определено, если знаменатель дроби не равен нулю: $x + 2 \neq 0$, то есть $x \neq -2$.

2. Основание не равно нулю, если числитель дроби не равен нулю: $x - 3 \neq 0$, то есть $x \neq 3$.

Объединяя эти условия, получаем, что область определения — это все действительные числа, кроме -2 и 3.

Ответ: $x \in (-\infty; -2) \cup (-2; 3) \cup (3; \infty)$.

г) $y = (x^2 - 6x + 5)^{-0,9}$

Показатель степени $p = -0,9 = -\frac{9}{10}$ является отрицательным рациональным числом. Так как знаменатель показателя (10) — четное число, основание степени должно быть строго положительным.

Требуется выполнение условия: $x^2 - 6x + 5 > 0$.

Найдем корни квадратного трехчлена $x^2 - 6x + 5 = 0$. По теореме Виета, корни $x_1 = 1$ и $x_2 = 5$.

Графиком функции $y = x^2 - 6x + 5$ является парабола с ветвями, направленными вверх. Значения функции положительны вне интервала между корнями.

Следовательно, неравенство выполняется при $x < 1$ или $x > 5$.

Ответ: $x \in (-\infty; 1) \cup (5; \infty)$.

д) $y = (7 - x^2)^{\sqrt{2}}$

Показатель степени $p = \sqrt{2}$ является иррациональным числом. Для степенной функции с иррациональным показателем основание степени должно быть строго положительным.

Требуется выполнение условия: $7 - x^2 > 0$.

Решим неравенство:

$x^2 < 7$

$|x| < \sqrt{7}$

$-\sqrt{7} < x < \sqrt{7}$

Ответ: $x \in (-\sqrt{7}; \sqrt{7})$.

е) $y = \left(\frac{x^2 - 4}{x - 1}\right)^{-\sqrt{3}}$

Показатель степени $p = -\sqrt{3}$ является иррациональным числом. Как и в предыдущем случае, основание степени должно быть строго положительным (отрицательный показатель не меняет этого требования, а лишь добавляет, что основание не может быть равно 0, что уже включено в строгое неравенство).

Требуется выполнение условия: $\frac{x^2 - 4}{x - 1} > 0$.

Разложим числитель на множители: $\frac{(x - 2)(x + 2)}{x - 1} > 0$.

Решим это неравенство методом интервалов. Критические точки (нули числителя и знаменателя): $x = -2$, $x = 1$, $x = 2$.

Эти точки разбивают числовую прямую на четыре интервала. Определим знак выражения на каждом из них:

  • Интервал $(2; \infty)$: $x=3 \implies \frac{(+)(+)}{(+)} > 0$. Подходит.
  • Интервал $(1; 2)$: $x=1.5 \implies \frac{(-)(+)}{(+)} < 0$. Не подходит.
  • Интервал $(-2; 1)$: $x=0 \implies \frac{(-)(+)}{(-)} > 0$. Подходит.
  • Интервал $(-\infty; -2)$: $x=-3 \implies \frac{(-)(-)}{(-)} < 0$. Не подходит.

Таким образом, неравенство выполняется для $x \in (-2; 1)$ и $x \in (2; \infty)$.

Ответ: $x \in (-2; 1) \cup (2; \infty)$.

Помогло решение? Оставьте отзыв в комментариях ниже.

Присоединяйтесь к Телеграм-группе @gdz_by_belarus

Присоединиться

Мы подготовили для вас ответ c подробным объяснением домашего задания по алгебре за 11 класс, для упражнения номер 5 расположенного на странице 45 к учебнику 2020 года издания для учащихся школ и гимназий.

Теперь на нашем сайте ГДЗ.ТОП вы всегда легко и бесплатно найдёте условие с правильным ответом на вопрос «Как решить ДЗ» и «Как сделать» задание по алгебре к упражнению №5 (с. 45), авторов: Арефьева (Ирина Глебовна), Пирютко (Ольга Николаевна), учебного пособия издательства Народная асвета.